首页 > 新闻快讯 > 研究进展

研究进展

我室在水稻土秸秆降解微生物研究上取得进展

发布时间:2020-10-19 【字体:       

秸秆是农田生态系统重要的有机资源,土壤微生物是其降解的主要驱动力。现有研究结果表明秸秆降解不同时段微生物群落有明显的演替现象,且不同土壤环境中秸秆降解微生物类群不同。但是,文献查阅发现参与秸秆降解的微生物携带的相关功能基因集可能较为相似,降解微生物群落结构演替主要受到秸秆化学性质的控制,以及除主导微生物发挥降解作用外还需辅助微生物协同参与。以上线索暗示了秸秆降解的微生物学过程具有内在的统一性,特别是在功能层面。这些认知的揭示将会极大推动我们对秸秆降解微生物学机制的了解,也有助于当前国家提倡的秸秆资源化需求。

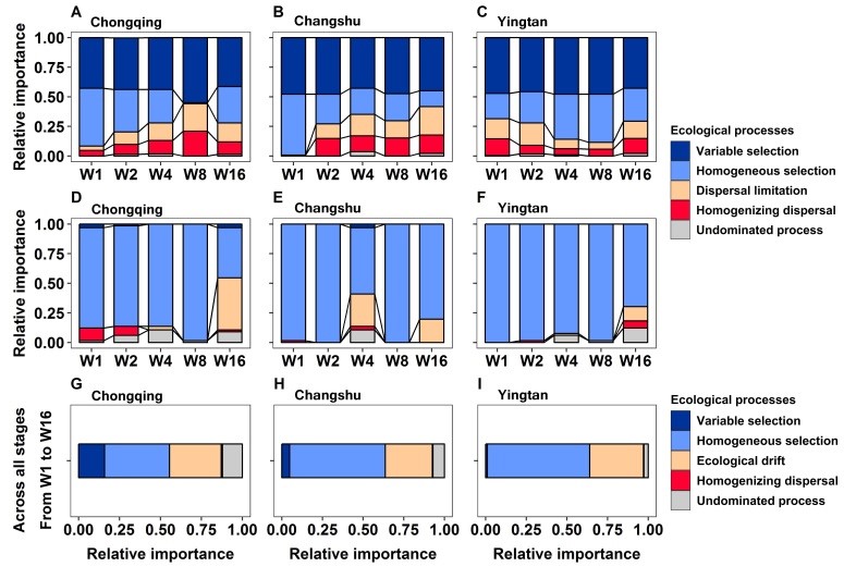
我室冯有智研究员团队结合秸秆田间原位埋袋降解和室内DNA稳定性同位素标记(DNA-SIP)实验,在我国亚热带水稻土秸秆降解微生物研究方面取得了新的进展。通过对重庆、常熟和鹰潭三个田间原位秸秆降解实验分析发现,(1)虽然站点间参与秸秆降解的细菌物种表现出较大的空间可变性,但是相关功能基因集变异性较低(文章一)。该结果表明功能层面的认知将会更有助于统一大尺度下秸秆降解的微生物学过程,以及可以从功能层面统一调控秸秆的降解过程。(2)利用生态零模型,分别研究了三个站点细菌群落构建机制,结果表明秸秆降解群落构建过程受到秸秆化学成分控制:“异质性选择”筛选了土壤中部分微生物参与秸秆降解;“匀质性选择”决定了各秸秆降解时间段内微生物群落组成;“生态漂变”赋予了整个降解时间段内群落组成一定的随机性。受到秸秆化学性质控制的群落构建过程塑造了群落组成进而间接影响秸秆降解(文章二)。该结果表明区域尺度下水稻土秸秆降解微生物群落的形成和演替具有高度的内在一致性。(3)利用DNA-SIP揭示了参与秸秆降解的具体物种,除了传统秸秆降解微生物类群外,还发现了多种间接参与的微生物群,例如具有电子传递“桥梁”作用的Geobacter,利于释放降解过程中积累的过剩还原力,解除秸秆降解过程中产生的底物限制,促进秸秆降解;固氮微生物可提供氮素,缓解因秸秆高C/N不利于降解的障碍;此外,引发“激发效应”的微生物也能间接参与秸秆降解(文章三)。该结果表明秸秆降解微生物是集团化作业,不仅要重视主导微生物,还需要关注辅助型物种。

相关研究成果在Soil Biology and Biochemistry和Biology and Fertility of Soils上发表。研究得到了我室李忠佩研究员和林先贵研究员主持的国家自然科学基金重点项目(41430859)的资助。

文章一链接:

https://link.springer.com/article/10.1007/s00374-020-01455-y

文章二链接:

https://www.sciencedirect.com/science/article/pii/S0038071720301632

文章三链接:

https://link.springer.com/article/10.1007/s00374-019-01342-1

区域尺度下秸秆降解微生物物种和功能分布

 

秸秆降解微生物群落构建过程

直接和间接参与秸秆降解的微生物

附件: